View Contoh Soal Biologi Kelas X Semester 2 22 Images
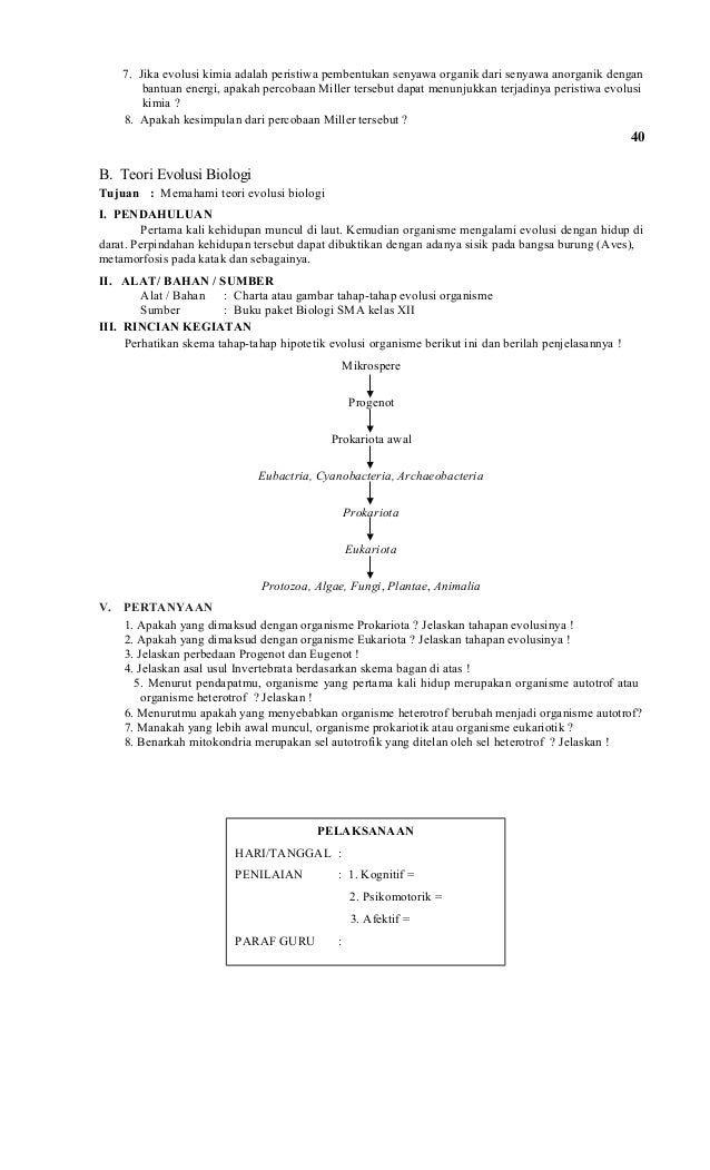
24/05/2019 00:00
View Contoh Soal Biologi Kelas X Semester 2 22
Images. Ordo archiptera atau isoptera (bersayap asli) termasuk exopterygota mempunyai dua pasang sayap yang tipis dan berukuran sama metamorfosisnya tidak. Soal uas biologi kelas x semester 1.
Kunci Jawaban Biologi Sma X from image.slidesharecdn.com
Kak hinda harap, kumpulan bank soal ini dapat membantu dan mengasah kemampuan. Mengapa ecoli dimasukkan kedalam bakteri gram negatif? Pkn budaya politik indonesia xi sma.
Contoh soal matematika kelas 2 sd semester 1.
2.virus yg sudah dilemahkan yg berdampak positif bagi kehidupan disebut? Salah satu contoh dari bahan tambahan yang ditambahakan ke dalam makanan yang bertujuan untuk memperlama proses pembusukan makanan(bahan pengawet) adalah… kecuali a. 2.virus yg sudah dilemahkan yg berdampak positif bagi kehidupan disebut? Bentuk pangkar, akar, dan logaritma.