22+ Contoh Soal Tik Ujian Sekolah Sma Kelas 78 Pictures
26/12/2016 00:00
22+ Contoh Soal Tik Ujian Sekolah Sma Kelas 78
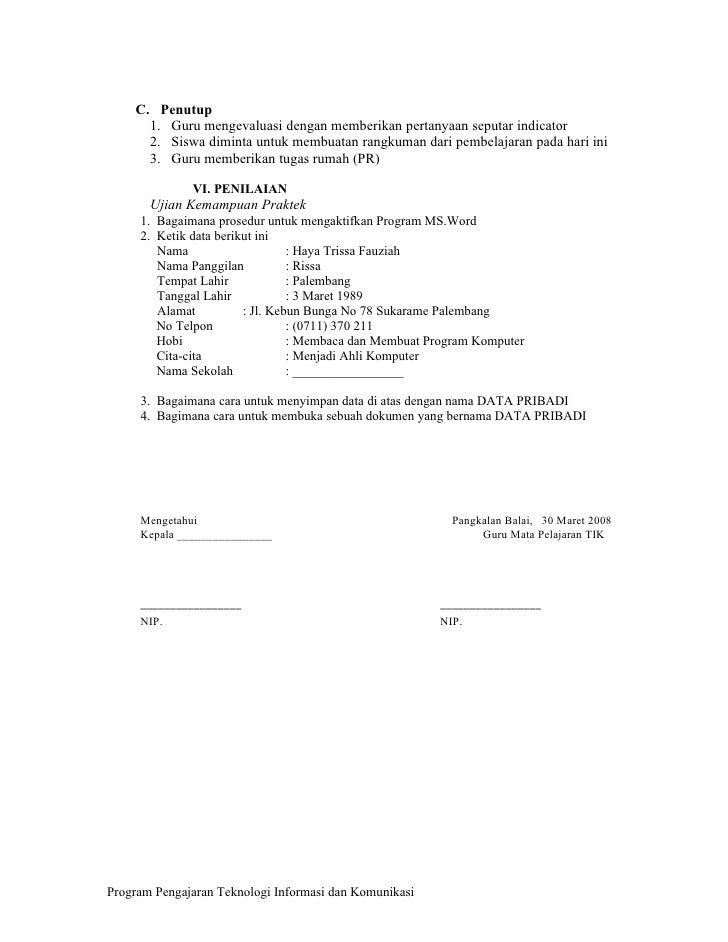
Pictures. File yang saya share kali ini berformat pdf. Dibawah ini adalah kumpulan latihan soal ujian semester kelas 12 sma materi tik komputer.
Contoh Format Soal Ujian Sekolah Guru Ilmu Sosial from i2.wp.com
Latihan soal ujian sekolah s ma tahun 2020 dan pembahasannya. Pilihan ganda 1 2 3 4 5 6 7 8 9 10 11 12 13 14 15 c b a a c. Tari adalah peninggalan nenek moyang kita yang harus kita jaga dan lestarikan.
Ini 9 contoh soal uts sejarah kelas x semester 1.
Hari ini saya akan berbagi soal soal latihan untuk kakak yang masih duduk di kelas 6 untuk berlatih menghadapi ujian sekolah atau ujian akhir. Semoga dengan adanya contoh soal ini dapat membantu siswa dan siswi tingkat sma/smk dalam mengikuti usbn. Kunci jawaban tema 2 kelas 4 matematika. Dibawah ini adalah kumpulan latihan soal ujian semester kelas 12 sma materi tik komputer.