11+ Berdasarkan Gambar Tersebut Pernyataan Berikut Yang Benar Adalah Muatan A Memiliki Background
23/04/2009 00:00
11+ Berdasarkan Gambar Tersebut Pernyataan Berikut Yang Benar Adalah Muatan A Memiliki
Background. Pada bab listrik statis kita akan banyak mempelajari muatan diam yang berarti tidak ada arus yang mengalir, muatan akan memiliki gaya tolak atau tarik menarik k:konstanta coulomb 9*10^9. Permukaan enzim memiliki tempat bergabung dengan substrat yang disebut lokasi aktif.
Terlengkap Soal Latihan Kelas 12 Sma Fisika Beserta Kunci Jawaban from 1.bp.blogspot.com
Equilateral triangle) adalah segitiga yang ketiga sisinya sama panjang. Gambar sketsa rumah berikut ini termasuk gambar sketsa rumah mudah digambar, yang kamu perlukan disini adalah berlatih dan terus berlatih di awal memang hasil tidak seperti yang dibayangkan. Bunga ini mempunyai banyak sekali varian, bunga yang di tiap variannya juga memiliki warna dan corak maupun bentuk yang khas.
Pihak yang dinyatakan ini adalah pihak yang tertera dalam surat pernyataan.
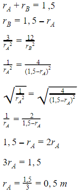
Untuk dua muatan yang sejenis letak medan listrik yang bernilai nol 7. Berikut adalah beberpa bunga unik dan aneh. Secara garis besar teori atom thomson adalah atom merupakan bola pejal yang bermuatan positif dan didalamya tersebar muatan negatif elektron. Berdasarkan model atom yang dibuatnya, democritus mampu menjelaskan bahwa semua benda terdiri dari bagian yang lebih kecil disebut atom.